CD30+淋巴瘤包含经典型霍奇金淋巴瘤(cHL)、系统性间变性大细胞淋巴瘤(sALCL)等多种类型,是一类较罕见且复杂的疾病。新型靶向CD30的抗体偶联药物维布妥昔单抗(BV)的出现为CD30+淋巴瘤带来了新的选择,其长周期治疗的良好疗效已在多项临床试验(CT)和真实世界研究(RWE)中得到充分验证。本期分享BV长周期用药的疗效与安全性,特邀昆明医科大学第一附属医院黎承平教授评。
尽管近年来淋巴瘤领域的新药层出不穷,但淋巴瘤仍然无法治愈。新药的研发周期长,投入成本和风险都很高,可谓“十年磨一剑”,我们是等待下一个颠覆治疗领域的新药或新疗法,还是探索现有新药的多种可能性来为患者带来更多临床获益?无疑后者是现在更有可能实现的目标,除了探索不同新药的协同抗肿瘤效应,还可以尝试优化给药方式/疗程来增强疗效。
BV作为全球首个靶向CD30的抗体偶联药物,在全球上市已有十余年,是CD30阳性淋巴瘤重要的治疗选择。由于淋巴瘤的异质性,不同患者对相同疗程的治疗反应也不尽相同。这篇文章揭示了延长BV治疗周期对CD30+淋巴瘤的潜在益处,经临床研究和真实世界验证,发现长周期的BV治疗有助于实现更深的缓解和生存改善,为临床治疗带来了一定的启示。
对于R/R CD30+淋巴瘤*,移植前达到完全缓解(CR)是治愈的关键,但传统治疗方案的CR率不佳、难以有效桥接移植,并且淋巴瘤*患者的症状负担很高,整体健康相关生活质量(HRQoL)降低1。因此,CD30+淋巴瘤*的治疗应尽可能获得缓解,尤其是深度缓解,延缓疾病进展,并缓解疾病的相关症状、减少治疗相关的毒性。BV是近年来在R/R cHL中崭露头角的新药之一,在既往多项研究中展现出深度缓解获益,那么如何应用现有新药为患者带来更多临床获益?长周期BV治疗能否实现这一目标呢?
延长BV的治疗周期,有助于发挥药物的更佳疗效2。一项II期研究显示,ASCT后复发/难治(R/R)的HL患者接受中位9个周期的BV单药治疗后,75%达到客观缓解,其中34%达CR,在CR患者中35%(12/34)经7-16周期BV治疗达到更佳缓解状态,其中治疗持续至16个周期时3%(1/34)患者进一步加深缓解,达到CR2.3。5年延长随访(中位随访69.5个月)时部分CR患者持续缓解>5年,实现了潜在治愈,其接受的中位治疗周期更长(CR患者:14周期 vs 部分缓解[PR]患者:6.5周期)2。
在R/R sALCL患者中,长周期BV治疗可带来86%的客观缓解率(ORR),其中57%的患者获得CR4。总体患者中位接受7个治疗周期,达到客观缓解的患者中位接受8个治疗周期,患者达客观缓解的中位时间为5.9周,达CR中位的时间为11.9周,说明延长治疗周期/治疗持续时间可能有助于提升缓解率、进一步加深缓解4。
长周期BV治疗的高效缓解除了带来生存获益,也有效改善了CD30+淋巴瘤*患者的生活质量。两项关键的II期多中心研究评估了BV在R/R HL或R/R sALCL患者中的安全性和有效性,中位5年的长期随访中,达到深度缓解的患者获得明显的症状缓解,包括患者能力水平、执行日常任务的能力和身体活动的能力的改善,包括BV治疗后接受ASCT的患者亚组1。研究中报告HRQoL持续改善,表明BV耐受性良好,尽管该研究的样本量较小1。
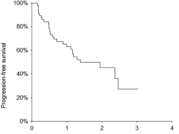
对于未达CR患者(例如PR状态),延长BV治疗周期有助于进一步加深缓解,延长缓解时间,有望带来更多生存获益5。在一项捷克和斯洛伐克的真实世界研究中,对比BV缓解不足的患者,BV治疗获得CR的患者接受了更多的治疗周期(CR,中位8个周期;PR,中位5.5个周期)(P<0.001)。所有患者经BV治疗后的中位PFS达1.38年,1年和3年OS率分别为78%和41%5。单变量分析显示,与接受≤5个周期BV治疗的患者相比,接受≥6个周期BV治疗的患者OS明显更长(P<0.05)5。
对于接受BV治疗的R/R sALCL患者,一项中位随访3.5年的真实世界回顾性单中心分析显示,长周期BV治疗可带来高效缓解,并且安全性良好6。患者中位治疗周期数为8(范围:4-16),最佳CR率为80%,治疗结束时1例PR患者加深缓解达CR,所有患者3年PFS率和OS率分别达61.7%和100%。安全性方面,以神经毒性为主,大多轻微可控,很少严重到需要减量或中断治疗,且多数在治疗结束后可逆转6。
真实世界R/R HL患者接受BV单药治疗的神经毒性率略低于临床试验数据中公布的比率,≥3级周围神经病变仅发生在3.3%-7.3%的患者中,体现了BV用药的安全性良好,有助于实现长周期治疗7。
参考文献[1] Donato EM, et al. Brentuximab vedotin in Hodgkin lymphoma and anaplastic large-cell lymphoma: an evidence-based review. Onco Targets Ther. 2018 Aug 6;11:4583-4590.[2] Chen R, et al. Five-year survival and durability results of brentuximab vedotin in patients with relapsed or refractory Hodgkin lymphoma. Blood. 2016 Sep 22;128(12):1562-6.[3] Younes A, et al. Results of a pivotal phase II study of brentuximab vedotin for patients with relapsed or refractory Hodgkin's lymphoma. J Clin Oncol. 2012 Jun 20;30(18):2183-9.[4] Pro B, et al. Brentuximab vedotin (SGN-35) in patients with relapsed or refractory systemic anaplastic large-cell lymphoma: results of a phase II study. J Clin Oncol. 2012 Jun 20;30(18):2190-6.[5] Král Z, et al. Treatment of Relapsed/Refractory Hodgkin Lymphoma: Real-World Data from the Czech Republic and Slovakia. J Cancer. 2019 Aug 28;10(21):5041-5048.[6] Gandolfi L, et al. Long-Term Responders After Brentuximab Vedotin: Single-Center Experience on Relapsed and Refractory Hodgkin Lymphoma and Anaplastic Large Cell Lymphoma Patients. Oncologist. 2016 Dec;21(12):1436-1441.[7] Velasco R, et al. Brentuximab-Induced Peripheral Neurotoxicity: A Multidisciplinary Approach to Manage an Emerging Challenge in Hodgkin Lymphoma Therapy. Cancers (Basel). 2021 Dec 5;13(23):6125.





